高中必背诗歌是中国传统文化教育的重要组成部分,这些诗歌不仅承载着深厚的文化底蕴,还蕴含着丰富的情感与哲理,对培养学生的审美情趣、语言表达能力和人文素养具有不可替代的作用,从《诗经》到唐诗宋词,每一首必背诗歌都是经过时间淘洗的经典,它们或描绘自然风光,或抒发家国情怀,或讲述人生感悟,以凝练的语言、优美的意境和真挚的情感,成为学生成长过程中不可或缺的精神滋养。
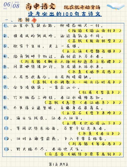
高中阶段的必背诗歌涵盖多个朝代和体裁,其中以唐诗宋词的比重最大,唐代诗歌题材广泛,风格多样,既有李白“长风破浪会有时,直挂云帆济沧海”的豪迈自信,也有杜甫“安得广厦千万间,大庇天下寒士俱欢颜”的忧国忧民;既有王维“空山新雨后,天气晚来秋”的清新淡远,也有李商隐“春蚕到死丝方尽,蜡炬成灰泪始干”的深情执着,宋代词则更注重情感的细腻表达,苏轼“但愿人长久,千里共婵娟”的旷达,李清照“寻寻觅觅,冷冷清清,凄凄惨惨戚戚”的婉约,辛弃疾“了却君王天下事,赢得生前身后名”的壮志,都展现了词人独特的生命体验和艺术追求。《诗经》中的“蒹葭苍苍,白露为霜”以景起兴,表达了对美好理想的追求;《楚辞》的“路漫漫其修远兮,吾将上下而求索”展现了屈原执着探索的精神;陶渊明“采菊东篱下,悠然见南山”则传递了归隐田园的恬淡心境,这些诗歌共同构成了高中语文学习的核心内容,学生通过背诵和理解,能够跨越时空与古人对话,感受中华文化的魅力。

从艺术特色来看,高中必背诗歌在语言、意象和意境等方面都达到了极高的成就,语言上,诗人注重炼字炼句,如王安石“春风又绿江南岸”中的“绿”字,生动描绘了春天的生机;贾岛“鸟宿池边树,僧敲月下门”的“敲”字,反复推敲中尽显诗歌的音韵之美,意象方面,诗人常用自然景物寄托情感,如“月亮”常象征思乡,“柳”暗含离别,“梧桐”多表愁绪,这些意象经过历代诗人的运用,形成了丰富的文化内涵,意境上,诗歌追求情景交融,如马致远“枯藤老树昏鸦,小桥流水人家”以简练的意象勾勒出萧瑟的秋景,又蕴含着游子的羁旅之愁,学生在背诵过程中,不仅需要记住文字,更要深入体会诗歌的艺术手法,提升文学鉴赏能力。
背诵这些诗歌对学生的个人成长也具有重要意义,诗歌中的情感力量能够触动心灵,帮助学生在青春期树立正确的价值观,当面对挫折时,“千磨万击还坚劲,任尔东西南北风”的坚韧会给予他们力量;当感到迷茫时,“山重水复疑无路,柳暗花明又一村”的豁达会指引他们方向;当思念亲友时,“海内存知己,天涯若比邻”的慰藉会温暖他们的心灵,诗歌中的语言精华能够丰富学生的词汇量,提升写作水平,许多高考优秀作文中都能看到古典诗词的巧妙运用,这不仅体现了学生的文化积累,也让文章更具文采和深度。
为了更好地帮助学生学习高中必背诗歌,以下从朝代、作者、作品名、名句及主题思想五个方面进行梳理(部分示例):
| 朝代 | 作者 | 作品名 | 名句 | 主题思想 |
|---|---|---|---|---|
| 唐 | 李白 | 《行路难》 | 长风破浪会有时,直挂云帆济沧海 | 抒发怀才不遇的苦闷,表达对理想的执着追求 |
| 唐 | 杜甫 | 《春望》 | 国破山河在,城春草木深 | 感伤国家衰败,表达忧国忧民的深沉情怀 |
| 宋 | 苏轼 | 《水调歌头》 | 但愿人长久,千里共婵娟 | 表达对亲人的思念和对人生的旷达态度 |
| 先秦 | 《诗经》 | 《蒹葭》 | 蒹葭苍苍,白露为霜 | 追求心上人而不得的惆怅,表达对美好理想的向往 |
| 宋 | 李清照 | 《声声慢》 | 寻寻觅觅,冷冷清清,凄凄惨惨戚戚 | 抒发国破家亡、丈夫去世后的孤寂悲苦 |
通过表格梳理,学生可以更清晰地把握不同诗歌的核心内容,便于系统记忆和对比学习,在学习过程中,建议学生结合注释理解诗歌背景,通过想象进入诗歌意境,同时注重朗读,感受诗歌的韵律美,将诗歌与现实生活联系起来,思考其中蕴含的人生哲理,能够加深对诗歌的理解,实现从“背诵”到“内化”的升华。

高中必背诗歌是中华文化的瑰宝,它们以独特的艺术魅力和深刻的思想内涵,滋养着一代又一代中国人的精神世界,学生不仅要背诵这些诗歌,更要从中汲取智慧、感悟人生,让古典诗词成为陪伴终身的精神财富。
相关问答FAQs:
-
问:如何高效记忆高中必背诗歌?
答:高效记忆需结合理解与重复,通过注释和背景知识理解诗歌内容,把握情感和主题;将诗歌分段拆解,逐段背诵,再整合成篇;利用联想记忆法,将诗歌意象与画面结合,如背诵“大漠孤烟直,长河落日日”时想象边塞风光;通过定期复习和尝试默写巩固记忆,避免遗忘。 -
问:背诵诗歌对语文考试有哪些具体帮助?
答:背诵诗歌对语文考试有多方面帮助:在古诗文默写题中可直接得分;在阅读理解题中,诗歌鉴赏能力有助于分析古代诗文的语言和情感;在作文写作中,恰当引用诗句可提升文采和深度,增强文章的文化底蕴,如写“坚持”主题时引用“锲而不舍,金石可镂”,能丰富论证内容,获得更高分数。
(图片来源网络,侵删)
